Топ белого цвета
Размер: 38
Материалы:
- 400 г пряжи белого цвета (100 % котон, 170 м/100 г),
- спицы №4,
- крючок № 3,
- пайетки и бисер в тон пряжи.
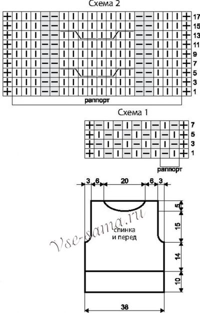
Жемчужный узор: вязать по схеме 1. На схеме указаны только лицевые ряды, изнаночные ряды вязать по рисунку. 8 высоту повторять с 1-го по 4-й ряд.
Узор для патента: вязать по схеме 2. На схеме указаны только лицевые ряды, изнаночные ряды вязать по рисунку. В высоту повторять с 1 - го по 10-й ряд.
Условные обозначения
Описание вязания топа белого цвета
Спинка
Набрать на спицы 92 петли и вязать узором для патента по схеме 2. На высоте 10 см от наборного края вязать жемчужным узором по схеме 1. На высоте 24 от наборного края, для пройм, с обеих сторон детали закрыть по 5 петель. Дальше вязать прямо.
На высоте 44 см от наборного края закрыть все петли.
Перед
Набрать на спицы 92 петли и вязать узором для патента по схеме 2.
На высоте 10 см от наборного края вязать жемчужным узором по схеме 1.
На высоте 24 см от наборного края, для пройм, с обеих сторон детали закрыть по 5 петель. Дальше вязать прямо. На высоте 39 см от наборного края, для выреза горловины, закрыть средние 34 петли и обе стороны вязать отдельно. Для закругления, со стороны выреза, закрыть 2 раза по 2 п., 1 раз 1 п. На высоте 44 см от наборного края закрыть все петли.
Сборка
Выполнить плечевые и боковые швы. По краю горловины набрать на спицы петли и вязать жемчужным узором по схеме 2, в высоту выполнить 10 рядов и закрыть все петли. Из пайеток и бисера нашить придуманную аппликацию на перед {см. фото модели).


Ажурная майка
Топ с рукавами "фонарик"
Белая майка спицами






