Накидка с узором со снятыми петлями
Размеры: 36/38 (40/42) 44/46
Вам потребуется:
- пряжа (100% шерсти; 120 м/50 г) - 250 (300) 350 г голубой;
- пряжа (72% альпака, 16% полиамида, 12% шерсти; 190м/50г) - 100 г светло-серой;
- круговые спицы № 4,5 и 5.
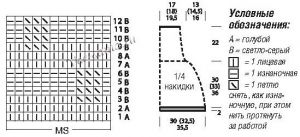
Узор 1: узор планки = круговые ряды (четное число петель): попеременно 1 лицевая, 1 изнаночная.
Узор 2: узор со снятыми петлями (число петель кратно 12) = вязать согл. схеме. На ней даны все круговые ряды. Постоянно повторять раппорт и 1-12-й круговые ряды, соблюдая указания цвета нити.
Узор 3: резинка = круговые ряды (число петель кратно 4): попеременно 2 лицевые, 2 изнаночные.
Плотность вязания: 22 п. х 42 круг.р. = 10x10 см.
Внимание: в результате убавок 8 последнем круговом ряду перед воротником ширина сильно уменьшается. Это изображено на выкройке в виде скоса.
Описание вязания накидки с узором со снятыми петлями
Голубой нитью на спицы № 5 набрать 264 (288) 312 петель и сеязать 2 см узором 1. Продолжить работу узором 2. Через 30 см = 126 круговых рядов (33 см = 138 круговых радов) 36 см = 150 круговых рядов от планки связать голубой нитью 1 круговой ряд лицевыми, при этом, равномерно распределив, убавить 116 (128) 140 п. = 148 (160) 172 п.
Продолжить работу для воротника голубой нитью на спицах № 4,5 узором 3. Через 22 см от начала вязания воротника закрыть все петли по рисунку.
Сборка
В нижний край под снятыми петлями 3-6-го круговых рядов схемы вплести пучки бахромы из 7 голубых нитей длиной ок. 32 см; длина в готовом виде = 15 см.


Пончо спицами с цветами
Меланжевое пончо с косами
Накидка с воротником гольф






